TC.Fisica.Net
Módulo 003

Movimento Retilíneo Uniforme (MRU) : Conceitos e Equações

Data da última atualização : 23/04/2002
Imprimir esta página ! Atualizar agora esta página !


Definição : Movimento sobre um segmento de reta orientado com velocidade escalar constante e aceleração escalar nula. Esquematicamente : v = constante ¹ 0 ; g = 0.

Definição do MRU !

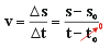
Equações : Se a velocidade deste movimento é constante, então, a velocidade escalar média é igual à velocidade escalar instantânea :

A igualdade entre as velocidades escalares instantânea e média é uma das principais características do MRU.
Desenvolvendo a equação de velocidade e adotando o tempo inicial to = 0, chegaremos à equação de espaço por tempo do MRU.
A função horária de espaços do MRU é de 1° grau, indicando uma variação constante de espaços com o passar do tempo.

Observação : Torna-se praticamente impossível efetuar o estudo deste movimento sem levar em consideração sua análise gráfica. Assim, antes de resolver exercícios deste módulo, estude o Módulo 004 - MRU - Análise Gráfica.


 

 

 

 

 

 

 

 

 

 

 

 

 

 

 


Retornar à página de índice de módulos de Mecânica !


Retornar à página inicial - FísicaNet !


Ir para a página de exercícios de fixação deste módulo !


Ir para a página de exercícios de vestibulares deste módulo !


Ir para a página de exercícios especiais deste módulo !


Ir para a página de exercícios desafio deste módulo !


Ir para a página de trabalho de casa deste módulo !


Ir para a página de exercícios extras deste módulo !