Definição
:
Movimento sobre um segmento de reta orientado com velocidade escalar variando
uniformemente e aceleração escalar constante, não
nula. Esquematicamente : v = variável ; g = constante ¹ 0.

Equações
: Se a aceleração deste
movimento é constante, então, a aceleração
escalar média é igual à aceleração
escalar instantânea :
|
|
|
|
|
A igualdade entre
as acelerações escalares instantânea e média
é uma das principais características do MRUV.
|
Desenvolvendo
a equação de aceleração e adotando o
tempo inicial to = 0, chegaremos à equação
de velocidade por tempo do MRUV.
|
A
função horária de velocidade do MRUV é
de 1° grau, indicando uma variação constante de
velocidade com o passar do tempo.
|
|
|
 |
|
|
O
gráfico acima mostra como varia uniformemente a velocidade
de um móvel, em função do tempo para um MRUV.
A área abaixo do gráfico até o eixo dos tempos
corresponde ao espaço percorrido pelo móvel durante
seu movimento.
|
A
área abaixo do gráfico
mostrado ao lado corresponde a um trapézio com bases "v"
e "vo" e altura "t". Calculando a área
podemos desenvolver a equação apresentada acima, substituindo
a velocidade final (v).
|
Continuando
a desenvolver a equação de área chegaremos
à função horária de espaços do
MRUV, mostrada acima. Ela é função de 2°
grau, indicando que o espaço não varia uniformemente
como a velocidade.
|
|
|
 |
|
|
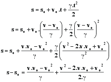
Utilizando
a equação de velocidade de um MRUV, podemos isolar
o tempo.
|
Substituindo
o tempo isolado anteriormente na equação de espaços
do MRUV e desenvolvendo-a, chegaremos a uma equação
onde não aparece a variável tempo (t).
|
Esta
equação é conhecida como "de Torricelli".
Sua aplicação restringe-se aos exercícios onde
não conhecemos o tempo de percurso de um móvel em
MRUV.
|
|
|
|
|
|
|
Utilizando
a equação de aceleração de um MRUV,
podemos isolar o intervalo de tempo.
|
Utilizando
a equação de Torricelli de um MRUV, podemos isolar
a variação de espaço.
|
Partindo
da equação de velocidade média para qualquer
movimento, podemos substituir a variação de espaço
e de tempo das equações anteriores.
|
Chegaremos
a uma equação simples que pode ser aplicada exclusivamente
ao MRUV. "A velocidade média corresponde à média
de velocidades em um determinado intervalo de tempo".
|
Observação
: Torna-se praticamente impossível
efetuar o estudo deste movimento sem levar em consideração
sua análise gráfica. Assim, antes de resolver exercícios
deste módulo, estude o Módulo 006
- MRUV - Análise Gráfica.
|








|